编辑:sx_zhanglz
2016-03-15
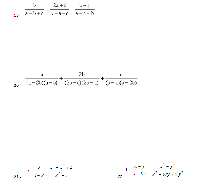
合理安排作息时间、锻炼身体,还需要有计划地进行课业练习,由精品学习网为您提供的八年级下册数学分式课后练习,希望给您带来启发!

小编为大家精心推荐的八年级下册数学分式课后练习,还满意吗?相信大家都会仔细阅读,加油哦!
相关推荐:
标签:数学同步练习
精品学习网(51edu.com)在建设过程中引用了互联网上的一些信息资源并对有明确来源的信息注明了出处,版权归原作者及原网站所有,如果您对本站信息资源版权的归属问题存有异议,请您致信qinquan#51edu.com(将#换成@),我们会立即做出答复并及时解决。如果您认为本站有侵犯您权益的行为,请通知我们,我们一定根据实际情况及时处理。